
Z uporabo vesoljske ladje NuSTAR in instrumenta NICER je mednarodna ekipa astronomov odkrila nov pospeševalni milisekundni rentgenski pulsar. Novoodkriti objekt, imenovan IGR J17591-2342, je zadnji dodatek na še vedno kratek seznam znanih naraščajočih milisekundnih rentgenskih pulzarjev. O tem poroča dokument, objavljen 30. avgusta na strežniku za predtisk arXiv.
Rentgenski pulzarji kažejo hude periodične spremembe v intenzivnosti rentgenskih žarkov, ki so lahko krajše od delca sekunde. Naraščanje milisekundnih rentgenskih pulzarjev (AMXP) je poseben tip rentgenskega pulzarja, pri katerem je kratek čas vrtenja posledica dolgotrajnega prenosa mase od zvezde z majhnimi spremljevalci skozi priraščevalni disk do počasi vrtljive nevtronske zvezde. Astronomi vidijo AMXP kot nekakšen astrofizični laboratorij, ki bi lahko bil ključnega pomena za izboljšanje našega znanja o procesih eksplozije fuzije.
Do danes je bilo zaznanih le 21 AMXP-jev, obdobja rotacije pa so se gibala od 1,7 do 9,5 milisekund. Za razširitev seznama teh posebnih predmetov znanstvena skupnost še vedno aktivno išče takšne vire z uporabo vesoljskih opazovalnic, kot je Nasin astrofizični teleskop (NuSTAR).
Pred kratkim je skupina raziskovalcev, ki jo je vodil Andrea Sanna z univerze v Cagliariju v Italiji, uporabila NuSTAR za identifikacijo novega AMXP. Vir, imenovan IGR J17591-2342, je bil prvotno razvrščen kot rentgenski prehodnik in je bil 10. avgusta 2018 predložen Mednarodnemu laboratoriju za astrofizične raziskave gama-žarkov (INTEGRAL) Evropske vesoljske agencije za skeniranje galaktičnega centra. Skupina je ta vir opazovala z uporabo NuSTAR, ki je razkril podatke o naravi tega predmeta. Dodatna opazovanja pulsarja so bila izvedena z uporabo Neutron Star Inner Composition Explorer (NICER) na krovu Mednarodne vesoljske postaje (ISS).
“V tem članku opisujemo skladno analizo časa opazovanja NuSTAR in NICER, ki prikazuje obdobje rotacije pulsarja in binarnih ephemeris,” poročajo raziskovalci v svojem članku.
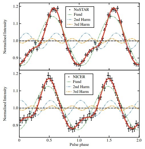
V podatkih NuSTAR in NICER je skupina odkrila koherentne rentgenske impulze približno 527,4 Hz (1,9 milisekunde), posnete skoraj 25 dni po začetku razpoka 15-odstotne gibalne frakcije.

V skladu z dokumentom ima IGR J17591-2342 orbitalno obdobje približno 8,8 ure. Izračunana je masa nevtronske zvezde, ki znaša približno 1,4 sončne mase, najmanjša masa spremljevalca pa je najverjetneje 0,42 sončne mase.
Poleg tega so astronomi opazili, da se IGR J17591-2342 nahaja v bližini središča naše galaksije Rimske ceste, približno 28.000 svetlobnih let od Zemlje. Ugotovljeno je bilo, da je ocenjena stopnja povečanja približno 0,52 milijarde sončne mase na leto. IGR J17591-2342 je še vedno 22. znani AMXP. Avtorji članka so poudarili, da njihovo odkritje bogati popis teh predmetov, ki so nujni za razumevanje poznejših faz evolucije zvezd.
